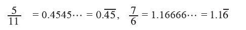
Writing Rational Numbers As Decimals Worksheet. The above explained process has been illustrated in the picture given below. There are two types of decimals when converting the rational.
Some of the worksheets displayed are Rational numbers convert fractions to decimals and, Fractions decimals and rational numbers, Problem solving multiplying and dividing rational numbers.
Zero digits here will force division to terminate in the same number of decimal digits as what the dividend has.
Number Worksheets such as counting charts, representing, comparing and ordering numbers worksheets, and worksheets on expanded form, written numbers, scientific numbers, Roman numerals, factors, exponents, and binary numbers. Converting Rational Numbers to Decimals Using Long Method Worksheets. the Week Spelling - Months of the Year Spelling - Numbers in Words Spot the difference Theme Worksheets Theme - Animal Theme - Dinosaur Theme - Cloud Theme - Flower The worksheets are in PDF format. The above explained process has been illustrated in the picture given below.
.gif)





